54

Maig 2011

  • Enviar
  • Subscriu-te

ARTICLES

Quart estudi d'inserció laboral de la població graduada de les universitats catalanes

Lorena Bernáldez Arjona - Tčcnica de gestió d'AQU Catalunya

Els estudis d'inserció laboral tenen un valor fonamental per al sistema universitari. En primer lloc, ofereixen informació sobre l'ajustament entre l'oferta i la demanda i la seva evolució, si bé aquestes dades són fortament dependents de la situació del mercat laboral. En segon lloc, permeten disposar d'indicadors sobre la qualitat de la formació des de la perspectiva del mercat laboral, informació fonamental per al disseny i el seguiment dels programes de formació, en especial els de naturalesa professionalitzadora. I, en tercer lloc, les dades recollides per aquests estudis poden ser de gran utilitat per millorar els processos i serveis d'orientació professional, informació clarament rellevant en temps de crisi econòmica.

A més, els estudis d'inserció laboral, com el que es presenta, elaborats conjuntament per tot el sistema universitari, tenen el valor afegit d'oferir una visió de sistema que permet contextualitzar les dades obtingudes per una universitat, un centre o una titulació. En definitiva, les enquestes sobre la població graduada nodreixen d'informació clau per als processos d'assegurament de qualitat de les institucions d'educació superior.

És per aquest motiu que, ara fa deu anys, les universitats públiques catalanes, representades pels seus consells socials i coordinades per AQU Catalunya, van iniciar conjuntament l'any 2001 el primer estudi d'inserció laboral de la seva població graduada, que des de llavors es realitza amb una periodicitat triennal. Actualment, s'ha finalitzat el treball de camp de la quarta edició de l'estudi d'inserció laboral, estudi que comprèn les tres enquestes següents:

  • El quart estudi de població graduada de les universitats catalanes (sistema públic i privat).
  • El segon estudi de població doctorada de les universitats públiques catalanes.
  • L'estudi de seguiment de població titulada deu anys després de la seva graduació (gènere).

A continuació es presenten les dades descriptives de la mostra assolida en aquests tres estudis. Els resultats de l'estudi de població graduada es preveu que es presentin a principi de juliol, i els de població doctorada i seguiment a final del 2011.

Taula 1. Característiques del treball de camp
  Població titulada Població doctorada Gènere
Població 3 anys després de la graduació 3 anys després del doctorat 10 anys després de la graduació
Dates Del 24 de gener al 28 de març Del 22 de febrer al 25 de març Del 3 al 25 de març 
Horari De 9 a 22 h De 9 a 22 h De 9 a 22 h
Temps mitjà de les trucades 13' 40'' si treballen
16' 04'' si ara no treballen 
  4' 44'' si mai no han treballat
12' 22'' si treballen
13' 13'' si ara no treballen 
  9' 07'' si mai no han treballat
13' 26'' si treballen
11' 22'' si ara no treballen
  3' 24'' si mai no han treballat

 

QUART ESTUDI D'INSERCIÓ LABORAL DE LA POBLACIÓ GRADUADA

La població de referència d'aquest estudi és la població titulada de la promoció 2006-2007. En el cas de la titulació de Medicina, la població de referència la formen les persones graduades el curs 2003-2004.

La novetat principal d'aquesta edició és la incorporació del sistema universitari privat en l'estudi. Així, hi participen, per primera vegada, les dotze universitats que conformen el sistema universitari català (set de les quals són públiques, tres privades i les altres dues responen a un model mixt), a més de 22 centres adscrits que també s'han sumat, per primera vegada, a aquest estudi.

En total, la població de referència ha estat de 28.616 graduats i graduades. La mostra assolida ha estat de 16.182, xifra que representa un percentatge del 56,5% i un error mostral del 0,52%. En comparació de les convocatòries dels estudis d'inserció laboral anteriors (vegeu la taula 2), s'ha passat d'una mostra de 9.765 persones titulades enquestades a una de 16.182, xifra que representa un increment en la mostra de l'estudi del 66%. Considerant que el finançament d'aquests estudis prové, quasi totalment, de les universitats, aquest fet reflecteix tant la utilitat de les dades obtingudes com el valor afegit de realitzar estudis de manera conjunta.  

Taula 2. Evolució de les entitats participants en els quatre estudis d'inserció laboral d'AQU Catalunya1
Any Població Mostra Resposta Error mostral Universitats participants
2001 21.178 9.765 46,1% 0,74% UB, UAB, UPC, UPF, UdG, UdL, URV 
2005 21.767 11.456 52,6% 0,64% UB, UAB, UPC, UPF, UdG, UdL, URV 
2008 24.169 12.553 51,9% 0,62% UB, UAB, UPC, UPF, UdG, UdL, URV, UOC i UVic 
2011 28.616 16.182 56,5% 0,52% UB, UAB, UPC, UPF, UdG, UdL, URV, UOC, URL, UVic, UIC, UAO i 22 centres adscrits

Gràfic 1. Distribució de població enquestada del curs 2006-2007 a Catalunya (universitats presencials) per gènere

You need to upgrade your Flash Player

En aquest estudi, igual que en l'edició del 2008, predomina el gènere femení (60% de dones i 40% d'homes).

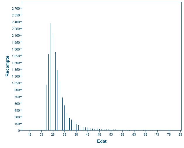
Gràfic 2. Distribució de població enquestada del curs 2006-2007 a Catalunya (universitats presencials) per edat en el moment de l'enquesta

Grŕfic 2. Distribució de població enquestada del curs 2006-2007 a Catalunya (universitats presencials) per edat

Nota: Gràfic calculat a partir dels 14.595 individus dels quals es disposava de data de naixement.

El total de persones graduades participants en l'estudi tenen entre 24 i 78 anys, la mitjana d'edat se situa en els 30 anys i el 70% de la població enquestada té entre 25 i 31 anys.

Sistema públic i sistema privat (universitats presencials)
El 77,8% de la població enquestada de les universitats presencials a Catalunya són titulats de les universitats públiques. El 14,2% i el 8% restants s'han graduat en universitats privades i centres adscrits, respectivament.

Taula 3. Distribució de la població enquestada del curs 2006-2007 a Catalunya (universitats presencials) per tipus d'universitat on obtenen el títol
  Recompte Percentatge
Universitats públiques 11.843 77,8%
Universitats privades 2.262 14,8% 
Centres adscrits 1.223 7,4% 
TOTAL 15.228 100%

Els graduats i graduades enquestats són, majoritàriament, de l'àmbit de Ciències Socials, amb el 46,2%, i de l'àrea Tècnica, amb el 24,7%. Els segueixen els àmbits d'Humanitats i de Ciències de la Salut, amb l'11% cadascun, i, finalment, l'àmbit de Ciències Experimentals, amb el 7,1%.

Comparant els dos gràfics de distribució de població graduada per àmbit d'estudi de les set universitats públiques entre el 2008 i el 2011, s'observa que la distribució per àmbits es manté gairebé equivalent, tot i que, com es veu al gràfic 4, la composició del sistema públic i del privat és bàsicament diferent. La introducció del sistema privat en l'estudi no ha comportat, a causa del seu volum inferior, gaires canvis en la composició de la mostra per àmbit, si bé es detecta un increment en la representació dels àmbits de Ciències Socials i Ciències de la Salut, i un lleuger decrement d'Humanitats i de Ciències Experimentals. 

Gràfic 3. Distribució de població enquestada del curs 2003-2004 a Catalunya (universitats públiques) per àmbit disciplinari. Estudi d'inserció laboral del 2008

You need to upgrade your Flash Player

Gràfic 4. Distribució de població enquestada del curs 2006-2007 a Catalunya (universitats presencials) per àmbit disciplinari i tipus d'universitat

Universitats públiques

You need to upgrade your Flash Player

Universitats privades

You need to upgrade your Flash Player

Noves titulacions
En aquesta quarta edició s'incorporen, per primera vegada, titulacions de la nova ordenació acadèmica, com ara el Graduat Superior en Disseny, Grau en Comerç Internacional, Grau en Realització Audiovisual i Multimèdia, Grau en Multimèdia, Màster en Multimèdia, Grau en Fotografia i Creació Digital. A banda d'aquests graus, la implicació en l'estudi de les universitats privades i els centres adscrits ha suposat una ampliació de la tipologia de titulacions analitzades. Així, l'estudi inclou, per primera vegada, titulacions com ara Ciències de l'Activitat Física i de l'Esport, estudis de disseny, de comerç internacional, d'audiovisuals i de multimèdia o d'aviació, entre d'altres. No s'han enquestat, però, els titulats i titulades dels màsters oficials, ja que s'ha cregut oportú esperar com a mínim un any més, a fi de tenir un volum més gran de màsters amb persones graduades.

L'alta mostra assolida reflecteix, tal com recull la taula 4, errors mostrals molt baixos —que van des de l'1,99% en Diplomats Sanitaris fins al 8,71% en el grup de les Filologies Clàssiques—, cosa que garanteix una representativitat molt bona dels resultats obtinguts. 

Taula 4. Descripció tècnica del quart estudi d'inserció laboral de les persones enquestades: població, mostra i error mostral per subàmbit d'estudi
Subàmbit d'estudi Població Mostra Error mostral (%)
Geografia i Història 883 598 2,32%
Filosofia i Humanitats 288 195 4,08%
Estudis Comparats 81 60 6,61%
Filologia Catalana i Castellana 218 166 3,80%
Filologies Modernes 605 396 2,96%
Filologies Clàssiques 57 40 8,71%
Belles Arts 472 216 5,02%
Economia i ADE 1.933 986 2,23%
Empresarials 1.745 660 3,07%
Dret 1.268 583 3,05%
Laboral 1.080 614 2,65%
Polítiques 524 346 3,14%
Comunicació 1.074 655 2,44%
Documentació 159 109 5,39%
Psicologia 986 376 4,06%
Pedagogia 488 320 3,28%
Mestres 2.895 1.922 1,32%
Turisme 344 240 3,55%
Esports 323 231 3,52
Química 425 249 4,08%
Biologia i Natura 979 615 2,46%
Física i Matemàtiques 289 221 3,27%
Diplomats Sanitaris 1.653 1.000 1,99%
Medicina i Odontologia 790 395 3,56%
Farmàcia i Ciències i Tecnologia dels Aliments 398 201 4,97%
Veterinària 122 68 8,10%
Arquitectura 976 371 4,09%
Enginyeria Civil Tècnica 160 107 5,58%
Enginyeria Civil 159 95 6,53%
Nàutica 60 45 7,52%
Tècnica Tecnologies Avançades de la Producció 1.372 883 2,01%
Tecnologies Avançades de la Producció 1.021 490 3,26%
Tècnica Informació i Comunicació 1.187 838 1,87%
Informació i Comunicació 1.136 588 2,87%
Tècnica Agrícola 241 182 3,68%
Agrícola 162 113 5,19%
Aviació 67 54 6,04%
TOTAL 26.620 15.228 0,53%

Nota: Universitats presencials.

Pel que fa a la composició de la mostra per subàmbit, la introducció del sistema privat ha suposat una representació més gran de les titulacions de Mestres (7 punts percentuals més que en l'estudi anterior), Diplomats Sanitaris, Tecnologies Avançades de la Producció, Tecnologies de la Informació i Comunicació (4 punts percentuals més), Economia i ADE, i Ciències de la Comunicació (3 punts percentuals més).

 

SEGON ESTUDI D'INSERCIÓ LABORAL DE LA POBLACIÓ DOCTORADA DE LES UNIVERSITATS PÚBLIQUES CATALANES

Aquest estudi té per objectiu conèixer la satisfacció amb els seus estudis de la població doctorada entre els anys 2006 i 2007, conèixer la seva situació laboral actual i valorar si aquests estudis han tingut un impacte en aquesta situació laboral.

En aquest segon estudi se segueix el mateix criteri que en l'estudi de la població graduada i s'entrevista les persones que han obtingut el títol de doctorat entre tres i quatre anys abans de la realització de l'enquesta, a fi que puguin valorar la seva formació des de l'experiència laboral. En aquest cas, la població de referència correspon a la població doctorada nacional a les set universitats públiques catalanes entre el 2006 i el 2007.

Taula 5. Descripció tècnica del segon estudi de la població doctorada de les universitats públiques catalanes: població, mostra, percentatge de resposta i error mostral per universitat
  Població Mostra assolida Percentatge de resposta sobre la població Error mostral (%)
Universitat de Barcelona 800 503 62,9% 2,72%
Universitat Autònoma de Barcelona 532 373 70,1% 2,83%
Universitat Politècnica de Catalunya 238 168 70,6% 4,19%
Universitat Pompeu Fabra 61 41 67,2% 9,02%
Universitat de Girona 62 45 72,6% 7,87%
Universitat de Lleida 51 37 72,5% 8,70%
Universitat Rovira i Virgili 80 58 72,5% 6,93%
TOTAL 1.824 1.225 67,2% 1,64%
Primer estudi de població doctorada (2008) 1.611 934 57,9% 2,12%

En aquesta segona edició s'aconsegueix una participació del 67,2%, 10 punts percentuals més que en el primer estudi d'inserció laboral de la població doctorada de les universitats catalanes, elaborat l'any 2008. Com a resultat de l'increment en la participació, aconseguim una reducció en l'error mostral, que passa del 2,12% en l'estudi del 2008 a l'1,64% en aquesta segona edició.

La universitat on es formen més doctors i doctores és la UB, amb el 41%, seguida de la UAB i la UPC, amb el 30% i el 14%, respectivament.

Pel que fa a la composició de la mostra per àmbit, en cap cas no s'obtenen errors mostrals superiors al 5%, fet que garanteix la bona representativitat dels resultats obtinguts per àmbits. 

Taula 6. Descripció tècnica del segon estudi d'inserció laboral de la població doctorada els anys 2006 i 2007, segons l'àmbit d'estudi a què pertany el doctorat obtingut
Àrea  Població Mostra Percentatge de resposta sobre la població  Error mostral (%)
Humanitats 243 175 72,0% 4,01%
Ciències Socials 223 165 74,0% 3,98%
Ciències Experimentals 682 436 63,9% 2,88%
Ciències de la Salut 375 225 60,0% 4,22%
Tècnica 301 224 74,4% 3,39%
TOTAL 1.824 1.225 67,2% 1,64%

Gràfic 5. Distribució de persones doctorades els anys 2006 i 2007 a Catalunya segons l'àmbit d'estudi

You need to upgrade your Flash Player

La distribució de la població doctorada per àmbits disciplinaris difereix considerablement de la titulada. Així, mentre que la població titulada de Ciències Socials representa el 44% del total de persones graduades, només el 13,5% de persones doctorades són de Ciències Socials. En canvi, Ciències Experimentals representa el 35,6% de doctors enfront del 8,8% de graduats.

En comparació de l'estudi anterior, la distribució per àmbits disciplinaris es manté amb la mateixa tendència, tot i que aquesta vegada s'observa un petit increment de 3 punts percentuals en els àmbits de Ciències Experimentals i Ciències de la Salut, i un decrement d'uns 5 punts percentuals en Ciències Socials i l'àrea Tècnica. En l'àmbit d'Humanitats no hi ha diferències.

Gràfic 6. Distribució de persones doctorades els anys 2006 i 2007 a Catalunya per gènere

You need to upgrade your Flash Player

Tot i que la diferència és de 2 punts percentuals, hi ha més homes que dones en la població doctorada dels anys 2006 i 2007. Tot i així, cal destacar que, respecte de l'estudi anterior, es produeix un increment de 5 punts percentuals en el cas de les dones.

Gràfic 7. Distribució de persones doctorades els anys 2006 i 2007 a Catalunya per edat en el moment de l'enquesta

Grŕfic 7. Distribució de persones doctorades els cursos 2006 i 2007 a Catalunya per edat
 
 
El total de persones doctorades participants en l'estudi tenen entre 30 i 80 anys, la mitjana d'edat se situa en els 39 anys i el 70% de la població enquestada té entre 32 i 43 anys. L'edat de la població doctorada és, de mitjana, superior a la de la titulada, atès que els programes de doctorat solen comportar una durada mitjana de sis o set anys.



ESTUDI DE SEGUIMENT DE SEGUIMENT DE POBLACIÓ TITULADA DEU ANYS DESPRÉS DE LA SEVA GRADUACIÓ A LES UNIVERSITATS PÚBLIQUES CATALANES

La recerca, amb la col·laboració de l'Institut Català de les Dones, es planteja com una continuació de l'estudi Gènere i inserció laboral del col·lectiu universitari (Bará et al., 2009), basat en l'anàlisi comparativa entre homes i dones dels resultats de l'enquesta d'inserció laboral de l'any 2008, en el qual no es van detectar diferències significatives per gènere tres anys després de finalitzar els estudis. La població de referència són dones i homes deu anys després de la graduació (població graduada universitària de la promoció 2000-2001 que ja va participar en l'estudi d'inserció laboral de l'any 2004).

Concretament, els objectius específics de l'estudi són:

  • Descriure la qualitat de la inserció laboral de la població graduada de les titulacions seleccionades, deu anys després de la seva graduació i a partir d'una bateria d'indicadors sensibles des de la perspectiva de gènere.
  • Analitzar si hi ha diferències pel que fa a la qualitat de la inserció laboral entre homes i dones amb la mateixa titulació, deu anys després de la seva graduació.
  • Analitzar si hi ha diferències pel que fa a la qualitat de la inserció laboral, dins un mateix gènere, en funció de la titulació cursada, deu anys després de la seva graduació.
  • Valorar si hi ha variables associades (actituds personals, situació familiar, trajectòria acadèmica, trajectòria professional, tipologia i percepció de les polítiques de suport de l'empresa pel que fa a la conciliació de la vida laboral amb la familiar) que poden ajudar a explicar aquestes diferències.

Per tal de poder fer contrastos estadístics per gènere, la població de l'enquesta s'ha seleccionat entre la població graduada de titulacions dels cinc àmbits disciplinaris on la proporció d'homes i dones és similar, i les titulacions triades tenen un volum de població graduada superior a 30.

Així, per a la selecció de la població d'aquest estudi, s'ha partit d'una població graduada el curs 2000-2001 de 21.676 persones, 11.456 de les quals es van entrevistar l'any 2004 per analitzar la seva primera inserció.

La taula 7 mostra la distribució de les persones enquestades per gènere. Així, es compleix l'objectiu d'estudi, ja que el percentatge d'homes i de dones enquestats és similar: el 54,7% de persones que han participat en l'estudi són dones i el 45,3% són homes. 

Taula 7. Descripció tècnica de l'estudi de seguiment de població titulada, deu anys després de la seva graduació (promoció 2001), de les universitats públiques catalanes: població, mostra, percentatge de resposta i error mostral per titulacions
 

Població

Mostra: dones Mostra: homes Mostra: total Percentatge de resposta sobre la població Error mostral (%)
Llicenciatura en Història 272 104 88 192 70,6% 3,92%
Llicenciatura en Administració i Direcció d'Empreses 311 72 59 131 42,1% 6,66%
Llicenciatura en Economia 299

98

99 197 65,9% 4,17%
Llicenciatura en Química 168 71 37 108 64,3% 5,77%
Llicenciatura en Medicina 249 101 33 134 53,8% 5,88%
Enginyeria Tècnica Industrial (Química Industrial) 346 41 51 339 98,0% 0,77%
Enginyeria Tècnica Agrícola (Explotacions Agropecuàries) 19 31
Enginyeria Tècnica Agrícola (Hortofructicultura i Jardineria) 21 23
Enginyeria Tècnica Agrícola (Indústries Agràries i Alimentàries) 54 39
Enginyeria Tècnica Agrícola (Mecanització i Construccions Rurals) 4 9
Enginyeria Tècnica Forestal (Explotacions Forestals) 16 24
Enginyeria Tècnica Forestal (Indústries Forestals) 1 6
TOTAL 1.778 602 499 1.101 61,9% 1,86%

La població seleccionada per a la realització de l'estudi, tot i no ser un criteri de selecció de la mostra, queda bastant repartida entre les set universitats públiques de Catalunya: el 73% de les persones enquestades són graduats de la UB, la UAB, la UPC i la UdL.

La distribució per àmbits d'estudi es correspon pràcticament amb el percentatge de les titulacions escollides: la majoria de la població d'estudi són titulats i titulades de l'àrea Tècnica (30,8%) i de Ciències Socials (29,8%). En els altres tres àmbits queda repartit entre el 17,4% d'Humanitats, el 12,2% de Ciències de la Salut i el 9,8% de Ciències Experimentals.

Gràfic 8. Distribució de la població titulada, deu anys després de la seva graduació (promoció 2001), de les universitats públiques catalanes per edat en el moment de l'enquesta

Distribució de la població titulada, deu anys després de la seva graduació (promoció 2001), per edat

Nota: Calculat a partir dels 700 individus dels quals es disposava de data de naixement.

El total de titulats i titulades participants en l'estudi tenen entre 31 i 66 anys d'edat. Tot i així, la mitjana se situa en els 35 anys, amb el 90% de la població enquestada compresa en l'interval de 32 a 40 anys d'edat. Si desglossem aquestes dades per gènere, no s'observen diferències significatives en la distribució de l'edat entre homes i dones. És a dir, tant homes com dones es mouen a la ratlla dels 35 anys, on el mínim i el màxim se situen entre els 31 i els 66 anys, respectivament.

Amb tot, sí que aquesta edat és superior a la mitjana d'edat de les persones titulades, i lleugerament inferior a la de les doctorades.

Emancipació i família
Les 1.101 persones enquestades viuen majoritàriament en parella (el 75,7 %), de les quals més de la meitat (el 55,9%) tenen fills o filles a càrrec. D'aquestes, quasi el 60% són famílies amb un únic fill, una mica més de la tercera part (36%) són famílies amb dos infants i només el 4% són família nombrosa.

Pel que fa a l'edat dels fills, el 95% de les famílies presenten com a mínim un fill amb una edat inferior a 6 anys. El 5% restant són llars amb fills de més de 7 anys.

Gràfic 9. Distribució de la població titulada, deu anys després de la seva graduació (promoció 2001), de les universitats públiques catalanes segons el tipus de llar i el nombre de fills que tenen en el moment de l'enquesta

You need to upgrade your Flash Player

El 55,9% dels que viuen en parella tenen infants. D'aquests, el 60% tenen un fill o filla, el 36% tenen dos fills o filles i el 4% tenen tres o més fills i/o filles.

Aquest nou grup de variables que han quedat fora dels estudis elaborats fins ara, com són les relacionades amb la descripció de la configuració de les famílies, poden aportar més informació i explicar de quina manera la dinàmica familiar pot incidir en les diferències de qualitat d'inserció laboral per gènere.

Acabem agraint la participació en l'enquesta d'inserció laboral a les 16.182 persones que han tingut l'amabilitat de dedicar uns minuts a respondre les enquestes d'AQU Catalunya.

 

1 La població graduada de la Universitat Oberta de Catalunya (UOC) és diferent de la població graduada de les universitats presencials: més del 60% tenen titulacions prèvies finalitzades quan accedeixen als estudis i gairebé el 90% treballava a temps complet mentre estudiava. És per aquest motiu que es presenten els resultats en un apartat propi. Així, en la segona edició han participat un total de 954 persones graduades de la UOC (el 47,8% del total de població graduada de la UOC), repartides a parts iguals entre homes (49,9%) i dones (50,1%). Pel que fa a la distribució de l'oferta d'estudis de la UOC, el 70% de les persones graduades enquestades de la UOC han estudiat titulacions de l'àmbit de Ciències Socials (Empresarials, i Economia i Administració d'Empreses, principalment), el 20% titulacions de l'àrea Tècnica i el 9% d'Humanitats. En aquesta edició els agents participants en l'estudi tenen entre 27 i 68 anys, la mitjana d'edat se situa en els 39 anys i el 70% de la població enquestada té entre 31 i 45 anys.

ENQA EQAR ISO

Generalitat de Catalunya

Via Laietana, 28, 5a planta 08003 Barcelona. Tel.: +34 93 268 89 50

© 2011 AQU Catalunya – Dipňsit legal B-5.686-2008